1D GIA benchmark
To make things a bit more interesting, we now propose to reproduce one of experiments proposed in a benchmark study of 1D GIA models (Spada et al., 2011). Test 1/2 (Fig. 9 and 10) consists of a 1D ice cap with a maximum thickness of 1500 m and a maximum latitude of 10° (i.e. the ice cap has a radius of about 1000 km wide). The lithosphere is assumed to be 100 km thick and the mantle is assumed to be layered, with a viscosity of 1e21 Pa s in the upper mantle and 2e21 Pa s in the lower mantle. The lithosphere is assumed to be elastic, with a Young's modulus of 70 GPa and a Poisson's ratio of 0.28. The ice load is applied at time t = 0 and kept constant until t = 100 kyr. The gravitational response and the resulting change in sea-surface elevation is computed, however without affecting the load that is applied to the solid Earth.
Note that Spada et al. (2011) use parameters that differ from FastIsostasy's default and that are passed to the simulation via PhysicalConstants and SolidEarth.
using FastIsostasy, CairoMakie
W, n, T = 3f6, 7, Float32
domain = RegionalDomain(W, n)
c = PhysicalConstants{T}(rho_ice = 0.931e3)
H_ice_0 = zeros(domain) # Load: 0 at the beginning
alpha = T(10) # Load: cap with max colatitude 10°...
Hmax = T(1500) # ... and thickness 1500 m afterwards
H_ice_1 = stereo_ice_cap(domain, alpha, Hmax)
fig = plot_load(domain, H_ice_1)
This already looks a bit more like a real ice sheet! Again, let's wrap this into an interpolator passed to a BoundaryConditions instance. The current example is of interest because 1D GIA models include the elastic and the gravitational response to changes in the surface load. The former is included by default in SolidEarth (unless specified, as done in the previous example) and the latter can be specified in the RegionalSeaLevel instance:
t_ice = [0, 1f-6, 100f3]
H_ice = [H_ice_0, H_ice_1, H_ice_1]
it = TimeInterpolatedIceThickness(t_ice, H_ice, domain) # Wrap in time interpolator
bcs = BoundaryConditions(domain, ice_thickness = it) # Pass to boundary conditions
sealevel = RegionalSeaLevel(surface = LaterallyVariableSeaSurface()) # gravitational response: on
G = 0.50605f11 # Shear modulus (Pa)
nu = 0.28f0 # Poisson ratio
E = G * 2 * (1 + nu) # Young modulus
lb = c.r_equator .- [6301f3, 5951f3, 5701f3] # 3 layer boundaries
solidearth = SolidEarth(
domain,
layer_boundaries = T.(lb),
layer_viscosities = [1f21, 1f21, 2f21],
litho_youngmodulus = E,
litho_poissonratio = nu,
rho_litho = 3100f0,
rho_uppermantle = 3500f0,
)
nout = NativeOutput(vars = [:u, :ue, :dz_ss], # Define the fields to be saved...
t = [0, 10, 1_000, 2_000, 5_000, 10_000, 100_000f0]) # And the time steps!
sim = Simulation(domain, bcs, sealevel, solidearth, (0, 100f3); nout = nout)
run!(sim)
fig = plot_transect(sim, [:ue, :u, :dz_ss])
By comparing these results to Fig. 9 of Spada et al. (2011), we can see that the deformational and gravitational response obtained by FastIsostasy are very similar to that obtained by 1D GIA models. Let's see how much time was required for this:
println("Computation time (s): $(sim.nout.computation_time)")Computation time (s): 0.0This is at least 2 orders of magnitude faster than typical 1D GIA models, without any major loss in accuracy!
Bonus
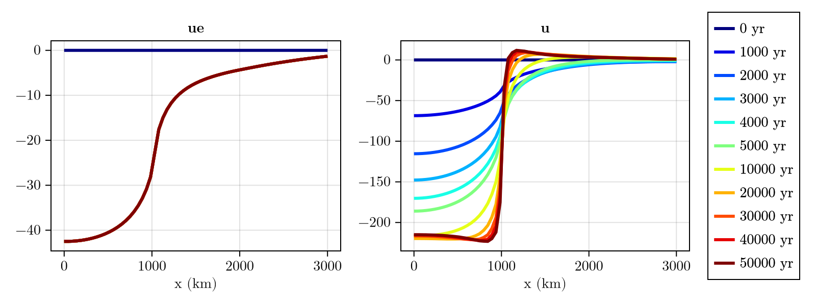
Swierczek-Jereczek et al. (2024) provides a comparison between FastIsostasy and a 3D GIA model, while assuming a 1D Earth structure. The first case assumes a layered Earth corresponding to the preliminary reference Earth model (PREM) and can be reproduced as follows:
H_ice_0 = zeros(domain) # Load: 0 at the beginning...
H_ice_1 = 1f3 .* (domain.R .< 1f6) # cylinder afterwards
t_ice = [0, 1, 50f3]
H_ice = [H_ice_0, H_ice_1, H_ice_1]
it = TimeInterpolatedIceThickness(t_ice, H_ice, domain)
bcs = BoundaryConditions(domain, ice_thickness = it)
solidearth = SolidEarth(
domain,
layer_boundaries = [100f3, 670f3],
layer_viscosities = [0.5f21, 5f21],
rho_uppermantle = 3.6f3,
lumping = FreqDomainViscosityLumping(),
)
nout = NativeOutput(vars = [:u, :ue], # Define the fields to be saved...
t = [0, 1f3, 2f3, 3f3, 4f3, 5f3, 10f3, 20f3, 30f3, 40f3, 50f3]) # And the time steps!
sim1 = Simulation(domain, bcs, sealevel, solidearth, (0, 50f3); nout = nout)
run!(sim1)
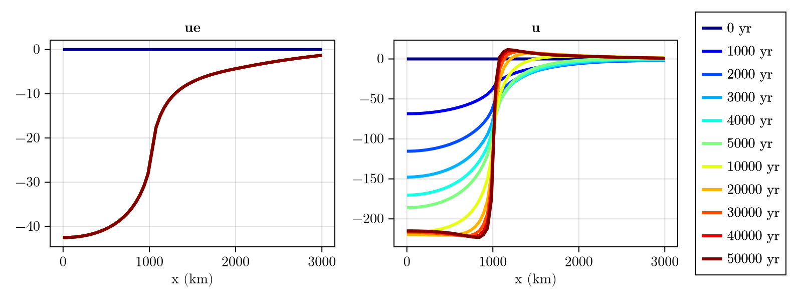
fig = plot_transect(sim1, [:ue, :u])
The second case assumes the absence of lithosphere and a homogeneous mantle with a viscosity of 1e21 Pa s:
solidearth = SolidEarth(
domain,
layer_boundaries = [1f0, 150f3],
layer_viscosities = [1f21, 1f21],
rho_uppermantle = 3.6f3,
)
nout = NativeOutput(vars = [:u, :ue], # Define the fields to be saved...
t = [0, 1f3, 2f3, 3f3, 4f3, 5f3, 10f3, 20f3, 30f3, 40f3, 50f3]) # And the time steps!
sim2 = Simulation(domain, bcs, sealevel, solidearth, (0, 50f3); nout = nout)
run!(sim2)
fig = plot_transect(sim2, [:ue, :u])
Finally, we can check the computation times:
println("Computation time (s): $(sim1.timer.t_computation[end])")
println("Computation time (s): $(sim2.timer.t_computation[end])")Computation time (s): 2.2657707
Computation time (s): 1.335794